Komplexní pohled na všestranné výhody chmelových extraktů

16.01.2026 18:54

Komplexní pohled na všestranné výhody chmelových extraktů

 
Narendra Kumar S1 , Anushri Acharya2, Riddhi Daga3, Sashwathi V4,
Siddhi Daga5, Varshini Ganesan Selvi6
 
1Asistent profesor, Katedra biotechnologie, RVCE
2,3,4,5,6 Studenti B.E., Katedra biotechnologie, RVCE
 
Článek ke stažení v PDF zde
 

ABSTRAKT:

Humulus lupulus L., běžně známý jako chmel, je rostlina široce uznávaná pro své použití při vaření piva. Tento článek zkoumá fylogenetický původ chmele, jeho evoluci a globální trendy v produkci chmele. Samčí květenství, neboli šišky, chmelové rostliny obsahují biologicky aktivní sloučeniny, jako jsou deriváty floroglucinolu, polyfenolické sloučeniny a éterické oleje, které přispívají k hořké chuti, charakteristické vůni a antimikrobiálním vlastnostem piva. Tyto sloučeniny také vykazují antioxidační, antimikrobiální, antifungální, protizánětlivé, antialergické a kognitivní vlastnosti. Zejména xanthohumol, prenylovaný flavonoid nacházející se v chmelu, vykazuje protinádorové účinky proti různým typům rakoviny. Extrakty z chmele se používají jako přírodní konzervační látky v potravinářských výrobcích a jejich použití se rozšiřuje i na kosmetiku a medicínu. Celkově lze říci, že extrakty z chmele představují slibný zdroj bioaktivních sloučenin s potenciálním využitím v různých průmyslových odvětvích.
 
Klíčová slova: Chmel, pivo, antimikrobiální, antioxidant, antifungální, xanthohumol, protirakovinný,
protizánětlivý, antialergický, kognitivní
 
 

ÚVOD:

Humulus lupulus L. patří do čeledi Cannabaceae a je široce pěstovanou trvalkou. Květy jsou obecně známé jako chmel a používají se hlavně jako klíčová přísada při vaření piva [1,2]. Používá se pro léčebné a průmyslové účely [13]. Fylogenetická analýza naznačuje, že druh chmele migroval do Evropy ze svého
pravděpodobného původu v Číně a poté se rozšířil do Severní Ameriky. Je všeobecně známo, že evoluce chmelových linií z Evropy do Severní Ameriky trvala milion let a pravděpodobně se odklonila od jejich společného předka ve Střední Asii [9,10]. Produkce chmele ve světě vykazuje od 70. let 20. století pozitivní trend. Nedávné statistické zprávy naznačují, že největšími producenty chmele jsou Spojené státy americké, Německo a Etiopie [14].
 
H.lupulus je dvoudomý, tj. má samčí a samičí reprodukční orgány v oddělených rostlinách [1]. Hořká chuť, charakteristická chmelová vůně, antimikrobiální vlastnosti proti grampozitivním bakteriálním druhům, jako jsou Lactobacillus, Streptococcus, Staphylococcus, Micrococcus, Bacillus a Pediococcus, a antioxidační aktivita piva jsou způsobeny samičími květenstvími (šiškami). Je to výsledek toho, že šišky obsahují lupulinové žlázy bohaté na deriváty floroglucinolu, polyfenolické sloučeniny a éterické oleje[2,3,5,11]. Tyto biologicky aktivní sekundární metabolity také přispívají k uchování a prodloužení trvanlivosti piva[3].
 
Kromě svých antimikrobiálních vlastností může být extrakt z chmele použit jako antifungální prostředek při výrobě chleba [6] a jako biofungicid proti škodlivým patogenům [4]. Bylo zjištěno, že esenciální kyseliny obsažené v pryskyřici chmele, humulony (α-kyseliny) a lupulony (β-kyseliny), přispívají k antibakteriálním, antioxidačním a různým antimikrobiálním vlastnostem extraktů z chmele [7,11,15]. Výsledky experimentů naznačují, že extrakt z chmelových semen vykazuje pozoruhodnou antioxidační a antimikrobiální aktivitu, což podtrhuje perspektivu využití chmelových semen v potravinářském a farmaceutickém průmyslu [2]. Studie naznačují, že antioxidační vlastnosti extraktů z chmelových listů se liší v závislosti na koncentraci sekundárních metabolitů [8]. Výsledky jedné studie naznačují, že prenylované flavonoidové deriváty chmelových rostlin mají terapeutický potenciál v boji proti rakovině, což podtrhuje jejich potenciál jako protinádorového činidla [12].
 

VLASTNOSTI:

Protinádorové
Xanthohumol je nejrozšířenější prenylovaný flavonoid v chmelu. Vykazuje protinádorové vlastnosti [20]. Tento esenciální flavonoid se nachází v ženských květenstvích chmelové rostliny [21]. Vzhledem k jeho vyšší lipofilitě ve srovnání s jinými pivními polyfenoly se předpokládá, že xanthohumol má větší biologickou aktivitu [22]. Rakovina je smrtelné a abnormální onemocnění. Chemopreventivní možnosti léčby rakoviny zahrnují širokou škálu látek, které brání vzniku, rozvoji a pokročilým stadiím karcinogeneze [22]. Bylo prokázáno, že xanthohumol zabraňuje metastázám i karcinogenezi u několika typů rakoviny [20].
 
Rakovina dýchacího ústrojí
Nemalobuněčný karcinom plic
Rakovina plic je hlavní příčinou výskytu rakoviny a úmrtnosti na celém světě [26]. Existují dvě hlavní kategorie rakoviny plic: malobuněčná a nemalobuněčná rakovina plic [23]. Nicméně přibližně 85 % pacientů s rakovinou plic každý rok tvoří pacienti s nemalobuněčnou rakovinou plic. Dva podtypy nemalobuněčné
rakoviny plic jsou spinocelulární karcinom a adenokarcinom [23]. Podle výzkumných studií prokázal xanthohumol (Xn) protinádorové vlastnosti proti adenokarcinomu NSCLC, konkrétně buňkám A549. Signální dráha regulovaná extracelulárními signály (ERK1/2) je klíčová signální dráha podílející se na proliferaci a diferenciaci buněk [20]. Xn interferuje s cestou Ras/Raf/MEK/ERK1/2, indukuje apoptózu a tím inhibuje růst buněk. Kromě toho Xn potlačuje aktivitu mitochondriálního komplexu I a stimuluje nadprodukci ROS (reaktivních forem kyslíku), což nakonec vede k smrti buněk A549. K ověření těchto zjištění a prozkoumání možných terapeutických implikací jsou nutné další studie in vivo, i když tyto výsledky poukazují na možné cesty protinádorových účinků Xn u NSCLC. [20].
 
Hepatocelulární karcinom
Třetí nejčastější příčinou úmrtí na rakovinu na celém světě je hepatocelulární karcinom. Přibližně 70 % pacientů má při prvním příjmu pokročilé stadium onemocnění, často s doprovodnou cirhózou. V důsledku toho přežije 50–70 % těchto osob pět let [24]. Transplantace jater může být jednou z možností, ale chirurgický zákrok nemusí být tak účinný [24]. V pankreatických buňkách dochází po léčbě xanthohumolem ke snížení buněčného množení. K tomu dochází, když Xn blokuje signální dráhu Notch1, což zase způsobuje zvýšenou buněčnou smrt. Notch1 je nezbytný pro přežití rakovinných buněk, ale XN snižuje jeho hladinu stejně jako hladinu dalších proteinů, které podporují růst rakovinných buněk. Kromě toho XN také snižuje aktivitu promotoru Notch1, který funguje jako spínač pro aktivaci Notch1. Snížení Notch1 je nezbytný pro působení Xn v buňkách rakoviny slinivky břišní, o čemž svědčí skutečnost, že nadměrná exprese aktivního Notch1 zvrátí potlačení růstu vyvolané xanthohumolem. Výsledky zdůrazňují potenciál Xn jako cílené léčby rakoviny slinivky břišní [25].
 
Antimikrobiální
Extrakty z chmele jsou slabé kyseliny, které inhibují růst bakterií v disociovaných formách. Nemají žádný toxický účinek na lidský organismus. Proteus mirabilis, Escherichia coli, Yersinia enterocolitica, Salmonella enteritidis, S. typhimurium, Klebsiella oxytoca Enterobacteriaceae, Enterococci a anaerobní bakterie jsou jen některé z patogenů, proti kterým bylo prokázáno antibakteriální působení esenciálního oleje z chmele. Jeho vliv na ústní mikrobiotu, jak samostatně, tak v kombinaci s jinými antimikrobiálními látkami, byl však předmětem pouze malého počtu výzkumů.
Bylo prokázáno, že ethanolový extrakt z chmelových plodů má silnou antibakteriální aktivitu proti S. aureus (MSSA a MRSA), S. gordonii, S. mutans, S. sobrinus a S. salivarius. Vykazuje také synergický účinek s několika konvenčními antimikrobiálními látkami.
Extrakty z chmele, které obsahují β-kyselinu, prokázaly silné antibakteriální účinky proti grampozitivním bakteriím jak in vitro, tak v praktickém použití pro konzervaci potravin. 
Pro zvýšení bezpečnosti a trvanlivosti čerstvých produktů lze antimikrobiální extrakty z chmele použít jako přírodní konzervační látky v potravinářských aplikacích.
Podle zpráv byl růst bakterií, jako jsou Salmonella enteritidis, Bacillus subtilis, Escherichia coli a Staphylococcus aureus, potlačen kyselinami ze superkritického extraktu chmele CO2. To vedlo k inhibici aktivního transportu cukrů a aminokyselin, což zase způsobilo narušení buněčného dýchání, bakteriální replikace, transkripce a translace [17].
 
Antifungální
Chmel si získal velkou pozornost díky svému potenciálnímu využití v potravinářství a ochraně plodin, a to buď jako konzervační prostředek v potravinách, nebo jako ochrana proti škůdcům a chorobám. Metabolity chmele nebo éterický olej z chmele mají toxické nebo repelentní účinky proti řadě škůdců, včetně Drosophila suzukii, Sitophilus granarius a Varroa destructor. Stále častěji se objevují studie zabývající se antifungálními nebo anti-oomycetovými účinky chmele. Bylo zjištěno, že éterický olej z chmelových hlávek je účinný proti Zymoseptoria tritici, chorobě pšenice. Bylo také prokázáno, že extrakty z chmele účinně potlačují růst mycelia a klíčení spor řady chorob, jako jsou druhy Aspergillus, Penicillium, Fusarium, Botrytis cinerea a Phytophthora infestans.
Tyto biologické vlastnosti jsou obvykle připisovány chmelovým šiškám a jejich metabolitům, které se v současné době hojně používají při vaření piva [18]. Při zkoumání antifungálních vlastností hořkých pryskyřic chmele a souvisejících sloučenin jsme zjistili, že humulony (kyseliny a), lupulony (kyseliny f3) a související sloučeniny s odlišnými postranními řetězci inhibují růst Trichophyton spp., patogenní houby, která napadá člověka, stejně jako jiné mikroorganismy[19].
 
Antioxidanty
Antioxidant je sloučenina, která zpomaluje nebo zabraňuje oxidaci látky, čímž snižuje oxidační stres[27]. Antioxidantní aktivita piva je výrazně posílena fenolovými kyselinami, které jsou známé jako silné antioxidanty, chelátory kovů a lapače volných radikálů[35]. Tyto látky se obvykle dělí do následujících
kategorií:
enzymatické typy (jako superoxid dismutáza, glutathion reduktáza, kataláza, peroxidáza atd.) a neenzymatické typy (jako glutathion, vitamíny)[29]. Mezi hlavní látky přispívající k antioxidačním účinkům patří specifické chemické látky, jako je xanthohumol, isoxanthohumol a pryskyřice produkovaná lupulinovými žlázami, které obsahují hořké kyseliny. Nedávné studie odhalily zvýšenou expresi transkripčních faktorů a strukturálních genů v lupulinových žlázách po vývoji listů, což vedlo ke zvýšení hladin hořkých kyselin a prenylflavonoidů v těchto žlázách[27].
V jedné ze studií vědci použili 14 genotypů chmele a izolovali základní složky chmele (xanthohumol, beta- kyseliny a alfa-kyseliny), aby pomocí srovnávací analýzy vyhodnotili antioxidační aktivitu[31].
Pro důkladnou analýzu byly použity tři antioxidační testy – FRAP, ORAC a ImmunoAssay.
● Test FRAP (ferric reducing antioxidant power): Tato metoda se používá k detekci antioxidační kapacity doplňků výživy nebo potravin (např. chmele) obsahujících polyfenoly [30].
● ORAC (Oxygen Radical Absorbance Capacity): Stanovuje se antioxidační kapacita a reaktivní formy kyslíku (ROS) látky[32].
● Imunoanalýza: V napodobeném buněčném prostředí se tato analýza používá k hodnocení antioxidačního potenciálu[35].
 
Výsledky ukázaly, že antioxidační aktivita různých genotypů chmele se výrazně lišila a tato variabilita mohla souviset s obsahem alfa-kyselin, beta-kyselin a dalších bioaktivních látek přítomných v každém genotypu, což naznačuje, že určité genotypy by mohly být cennějším zdrojem přírodních antioxidantů pro různá průmyslová odvětví [31]. Na základě parametrů studie (Codina-Torrella et al.) jsou vzorky BSG (vyčerpané pivovarské mláto) a BL (pivovarské kaly) jasně odděleny analýzou PCA (hlavní komponentová analýza). Tyto výsledky naznačují, že druhy sladu a chmele použité při vaření piva mají významný vliv na TPC, antioxidační aktivitu a individuální obsah fenolů v různých vzorcích. Použití různých odrůd chmele vede k různé antioxidační aktivitě [36].
 
Extrakce studeným methanolem vykazovala u všech testovaných odrůd chmele vyšší redukční aktivitu než extrakce horkou vodou. Nejvyšší aktivitu měl chmel Saaz, zatímco hybridní odrůdy měly aktivitu nižší. Methanolové extrakty měly konzistentní redukční aktivitu u všech druhů chmele, s vyšším obsahem polyfenolů, ale nižšími hladinami antokyanogenů ve srovnání s vodnými extrakty. Antioxidantní aktivita úzce souvisí s obsahem polyfenolů v obou typech extraktů [33].
 
(Codina-Torrella et al.) zkoumali antioxidační vlastnosti extraktů z pivovarského mláta (BSG) a pivovarského chmele (BSH), což jsou klíčové pevné vedlejší produkty při výrobě piva. Byly posouzeny různé extrakční techniky, přičemž se ukázalo, že optimálních výsledků bylo dosaženo při použití alkalického rozpouštědla (NaOH) v koncentraci 1,45 % a teplotě 80 °C. Vyšší celkový obsah polyfenolů (TPC) odpovídal zvýšené antioxidační aktivitě, jak bylo hodnoceno metodami TEAC a ORAC s použitím radikálů ABTS a APPH. Průmyslové a řemeslné extrakty BSG vykazovaly nejvyšší hodnoty TPC ve srovnání s extrakty BSH. Kyselina ferulová se ukázala jako významný polyfenol v extraktech BSG, který pozitivně koreloval s TPC a aktivitou zachycování radikálů. Emulze obsahující 10 % extraktu BSG vykazovaly 97% snížení oxidačních produktů během 14 dnů, zatímco PLA fólie s 1 % extraktu BSG snížily oxidaci o 35 %, což naznačuje jejich potenciál jako antioxidantů při konzervaci potravin. Shrnuto, výzkum podtrhuje potenciál extraktů BSG a BSH jako přírodních antioxidantů se slibnými aplikacemi v potravinářském průmyslu [34].
 
Protizánětlivé
Osteoartróza je degenerativní onemocnění kloubů charakterizované zánětem. Je způsobeno odbouráváním
chrupavky.
degradaci způsobenou stárnutím, dědičností nebo traumatem, kde současné léčby nabízejí omezenou úlevu a mohou mít vedlejší účinky. Vědci však zjistili, že výtažky z chmele obsahují sloučeniny se známými protizánětlivými vlastnostmi, které nabízejí potenciální přírodní možnost léčby osteoartrózy [28,68].
Výzkum ukázal, že liposomy představují slibnou cestu pro dodávání léků do chondrocytů, buněk tvořících chrupavku. V důsledku toho byly provedeny výzkumy s cílem posoudit, zda extrakt z chmele uzavřený v nanolipozomech může sloužit jako terapeutické činidlo ke snížení zánětu v lidských chondrocytech, zejména u osteoartrózy nebo zánětu kloubů. Studie využila metanolovou metodu k extrakci složek listů chmele a izolovala rozpustné molekuly, které byly následně samostatně syntetizovány do nanolipozomů. Na chondrocytech byly testovány různé dávky těchto přípravků, přičemž se ukázalo, že všechny kromě nejvyšších dávek byly pro buňky bezpečné. Je pozoruhodné, že jak extrakt z chmele, tak prázdné nanoliposomy snižovaly produkci zánětlivých látek, přičemž kombinace v nanoliposomech vykazovala ještě silnější účinek. To dokazuje, že zapouzdření extraktu zvyšuje jeho protizánětlivé vlastnosti, což naznačuje potenciál pro budoucí terapie zaměřené na zánět kloubů [28].
Kromě toho xanthohumol vykazoval inhibiční účinky proti řadě virových infekcí, jako je SARS-CoV-2 a další závažná onemocnění způsobená alfa- nebo beta-koronaviry. Očekávalo se, že xanthohumol by mohl zlepšit klinický průběh a prognózu u těžce nemocných pacientů s COVID-19, kteří vyžadují mechanickou ventilaci, díky svým antivirovým a protizánětlivým vlastnostem [45].
Tyto poznatky zdůrazňují terapeutický potenciál sloučenin pocházejících z chmele jak při zánětech kloubů, tak při virových infekcích. 
 
Antialergické účinky
Výzkum naznačující protialergické účinky Humulus Iupulus je poměrně omezený, proto je zapotřebí provést další studie, aby bylo možné jednoznačně určit roli chmele v léčbě alergií. Chmel obsahuje různé sloučeniny, jako jsou polyfenoly a flavonoidy, které mají antioxidační a protizánětlivé vlastnosti. Tyto vlastnosti mohou přispívat k potenciálním protialergickým účinkům. Alergie často zahrnují zánětlivou reakci a látky s protizánětlivými vlastnostmi by mohly potenciálně pomoci zmírnit příznaky.
Několik studií zkoumalo potenciální antialergické vlastnosti extraktu z chmele a odhalilo jeho inhibiční účinky na alergické reakce. Například sloučeniny obsažené v chmelu prokázaly schopnost bránit uvolňování histaminu, který je klíčovým mediátorem alergických reakcí. Jedna studie se zaměřila na vliv extraktu z chmele na uvolňování histaminu z peritoneálních žírných buněk potkanů a lidských bazofilních buněk KU812. Jak vodný extrakt z chmele (HWE), tak 50% metanolová frakce HWE (MFH) XAD-4 vykazovaly inhibiční účinky na uvolňování histaminu z žírných buněk potkanů indukované sloučeninou 48/80, a to v koncentracích 100 a 10 μg/ml. Studie dále hodnotila účinky extraktů chmele na antigenem indukované tření nosu a kýchání u senzibilizovaných myší BALB/c. HWE významně inhiboval tření nosu a kýchání v dávce 500 mg/kg a účinky obou extraktů byly výraznější při opakovaném podávání [37].
Další podobná studie zkoumala protialergický účinek HWE na lidské bazofilní buňky KU812 indukované ionoforem vápníku A23187. 50% frakce eluovaná metanolem z HWE, známá jako MFH, vykazovala silnější inhibiční účinek ve srovnání s HWE. MFH obsahovala kvercetinové glykosidy a kaempferolové glykosidy, přičemž kvercetinové glykosidy byly identifikovány jako klíčové látky přispívající k inhibici uvolňování histaminu. V HWE se většina kvercetinu vyskytovala ve formě glykosidů s obsahem přibližně 200 μg/g stanoveným kyselou hydrolýzou. Jak HWE, tak MFH významně inhibovaly protein kinázu C, která hraje klíčovou roli v degranulaci chemických mediátorů, což naznačuje jejich potenciál inhibovat alergické reakce typu I [38].
Antialergické vlastnosti HWE byly dále zkoumány v jiné studii, která hodnotila únik Evansova modrého barviva indukovaný stimulací sloučeninou 48/80 u myší ICR a uvolňování histaminu u myší BALB/c senzibilizovaných ovalbuminem (OVA). Orální podání HWE účinně inhibovalo vaskulární permeabilitu a uvolňování histaminu. Je pozoruhodné, že HWE neměl vliv na celkovou nebo antigen-specifickou produkci imunoglobulinu E (IgE) u myší senzibilizovaných OVA. Tyto výsledky naznačují, že HWE vykazuje antialergický účinek tím, že specificky inhibuje uvolňování chemických mediátorů z žírných buněk a bazofilů [39].
 
Kognitivní
Několik studií poukazuje na potenciální kognitivní přínosy spojené s extrakty z chmele. Konkrétní výzkum zaměřený na zralé hořké kyseliny chmele (MHBAs) měl za cíl prozkoumat jejich vliv na duševní únavu, náladu a lidské kognitivní funkce. Výsledky naznačily, že osoby konzumující MBHA v dávce 35 mg denně vykazovaly ve srovnání s placebovou skupinou lepší verbální paměť v testu verbální plynulosti (VFT) a lepší inhibici výkonných funkcí v Stroopově testu. Konzumace MBHA byla navíc ve srovnání s placebovou skupinou spojena se zlepšením duševní únavy a nálady [40].
Nedávná studie se zabývá aktuálními poznatky o účincích a základních mechanismech hořkých kyselin pocházejících z chmele, zejména těch, které se nacházejí v pivu. Bylo zjištěno, že hlavní hořké složky, izo-α- kyseliny (IAA), zlepšují paměť závislou na hipokampu a kognitivní funkce spojené s prefrontální kůrou prostřednictvím aktivace dopaminové neurotransmise. Další kategorie, zralé hořké kyseliny z chmele (MHBAs), charakterizované oxidovanými složkami s β-karbonylovými skupinami pocházejícími ze starého chmele, také prokázala schopnost zlepšovat paměťové funkce prostřednictvím mechanismů zprostředkovaných neurotransmisí norepinefrinu. Je pozoruhodné, že jak IAA, tak MHBA vykazují účinky, které jsou oslabeny vagotomií, což naznačuje, že tyto hořké kyseliny zlepšují kognitivní funkce prostřednictvím stimulace bloudivého nervu. Kromě toho se doplňování IAA ukázalo jako slibné při zmírňování neurozánětů a kognitivních poruch u různých modelů neurodegenerativních onemocnění u hlodavců, jako je Alzheimerova choroba. Přehled naznačuje, že denní doplňování hořkých kyselin pocházejících z chmele, například 35 mg/den MHBAs, lze považovat za bezpečnou a účinnou strategii pro stimulaci bloudivého nervu a tím i zlepšení kognitivních funkcí[41]. Samostatná studie ukázala, že příjem Iso-α-kyselin (IAA), sloučenin pocházejících z chmele, které jsou zodpovědné za hořkou chuť piva, snižuje aktivaci mikroglií a zmírňuje úbytek paměti související s věkem u starších myší. Zánět v mozku je spojen s několika neurologickými poruchami, včetně demence, deprese a chronické únavy. Konzumace IAA by mohla potenciálně pomoci při léčbě nebo dokonce zvrácení stavů souvisejících se zánětem, jako je kognitivní zhoršení[42].
 

METODY IZOLACE A CHARAKTERIZACE CHEMICKÝCH SLOUČENIN OBSAŽENÝCH V CHMELU:

K extrakci éterických olejů z chmele se tradičně používá destilace. Jedna z metod spočívá v průchodu páry jemně mletým chmelem, po kterém následuje extrakce oleje z kondenzátu pomocí etheru. Tento destilační proces trvá přibližně 4 hodiny, aby se z 100 g vzorku hrubě mletého chmele v 3 litrech vody extrahovaly éterické oleje. V současné době se zkoumá vliv zkrácení doby trvání typického destilačního procesu. Oleje destilované parou byly analyzovány pomocí plynové chromatografie [3,43].
V roce 1969 byl Freiherr Von Horst a Kellnerovi udělen americký patent 3436319 [44] A za jejich inovaci s názvem „Tenká vrstva parní destilace extraktu chmelového oleje“. Tento patentovaný proces je charakterizován jako kontinuální a byl navržen pro extrakci éterického oleje z chmelových přípravků. Klíčovým rysem této metody je její schopnost plně získat chmelový olej z parního destilátu a současně vytvořit zbytkový chmelový extrakt obsahující ostatní složky extraktu v podstatě nezměněném stavu [3].
Kapalný oxid uhličitý (LCO2) se používá při extrakci chmele, přičemž teplotní a tlakové rozsahy pro tento proces byly popsány již v roce 1966. Ukázalo se však, že stabilita výsledného extraktu je nedostatečná, protože během skladování dochází k chemickým změnám. Alternativní metoda zavedená v roce 1977 zahrnovala extrakci superkritickým CO2 při vyšších teplotách a tlacích, což vedlo k získání vysoce kvalitního chmelového extraktu. Mezi varianty patřila extrakce pod kritickou teplotou s přidáním etanolu jako rozpouštědla k LCO2, což poskytovalo chmelové extrakty bez tvrdých pryskyřic a polyfenolických látek. Extrakce superkritickou kapalinou, konkrétně pomocí CO2, se stala preferovanou průmyslovou metodou pro výrobu pivovarských ingrediencí, protože nabízí výhodu bez použití rozpouštědel. Zatímco extrakce kapalina-kapalina a pevná látka-kapalina zůstávají běžně používanými izolačními postupy, pro charakterizaci aromatických vlastností se používá mikroextrakce v pevné fázi a pro izolaci netěkavých sloučenin se používá extrakce v pevné fázi. Zrychlená extrakce rozpouštědlem se také využívá pro extrakci hořkých kyselin z chmele. Navzdory účinnosti extrakce superkritickou kapalinou při získávání extraktů
hořkých kyselin pro pivovarnictví je nevýhodou zadržování skupiny biologicky aktivních prenylflavonoidů (několik studií se zaměřilo na prenylflavonoidy jako potenciální sloučeniny zabraňující rakovině) v rostlinném materiálu za podmínek extrakce. Nový postup vyvinutý Mertensem a Pascalem zahrnuje extrakci a rozpouštění chmelových kyselin, včetně α-kyselin, iso-α-kyselin, β-kyselin a jejich derivátů ve vodném médiu. Tato metoda vytváří kvartérní amonné soli chmelových kyselin s kvartérními amonnými sloučeninami, což zvyšuje jejich rozpustnost v kyselých vodných médiích ve srovnání s volnou kyselou formou. Tento inovativní přístup nejen zlepšuje využití chmelových kyselin, ale nachází také uplatnění v procesu vaření piva, kde přispívá ke zlepšení chuťového profilu a hořkosti konečného produktu[3].
 
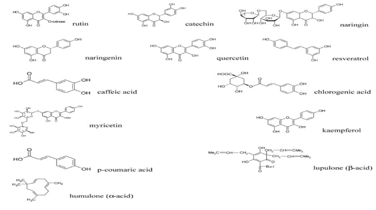
Obrázek 1. Struktury fenolických sloučenin a hořkých kyselin[67]
 
Ultrazvuková extrakce může být také použita k získání extraktu z chmele. Jedna taková studie ukazuje, že extrakční proces byl proveden pomocí směsí acetonu nebo methanolu a vody. Chmelové hlávky spolu s extrakční směsí se nechají 30 minut v ultrazvukové lázni při pokojové teplotě. Poté se směs filtruje a skladuje v temnu[67].
Technika GC-MS byla navržena jako cenný analytický nástroj pro poskytování přesných a správných kvalitativních a kvantitativních údajů o různých složkách přítomných v kapalné směsi. Pivo bylo analyzováno na přítomnost různých fenolických sloučenin pomocí různých detekčních metod, včetně coulometrických, elektrochemických a fotodiodových polí, jakož i ultrafialové a viditelné spektrofotometrie a hmotnostní spektrometrie s nízkým rozlišením. Pomocí těchto detekčních a separačních procesů lze identifikovat a následně izolovat více než dvě stě sloučenin, včetně éterických olejů, prenylflavonoidů a hořkých kyselin, které se běžně klasifikují jako α-kyseliny a β-kyseliny. Hlavní složky éterických olejů chmele, jako jsou seskviterpeny a monoterpeny obsahující humulen, karyofylen, farnesen, bisabolen a elemen, se běžně stanovují vyhodnocením celkového obsahu těkavých látek pomocí GC MS[3,46].
Kyseliny α-, β- a iso-α vykazují významný oxidační potenciál. Je zásadní vyvinout přímé preparativní techniky (vylučující jiné složky chmele, jako jsou polyfenoly, lipidy, vosky a polysacharidy) k izolaci frakcí oxidovaných hořkých kyselin. To je nezbytné nejen z důvodu jejich vlivu na vlastnosti piva, ale také s ohledem na jejich potenciální přínosy pro zdraví. Kvantitativní analýza zralých hořkých kyselin chmele (MHBA), které se skládají převážně z oxidů odvozených od α-kyselin, se provádí pomocí metody vysokovýkonné kapalinové chromatografie (HPLC), často v kombinaci s tandemovou hmotnostní spektrometrií s ionizací za atmosférického tlaku (APCI-MS-MS) nebo hmotnostní spektrometrií s negativní elektrosprejovou ionizací [3,47]. S využitím vysokorozlišovacího hmotnostního spektrometru LTQ-Orbitrap lze analyzovat řadu fenolických sloučenin, včetně hexosidů, dihexosidů, pentosidů a chinových konjugátů, jako je feruloylchinová kyselina, kyselina kumarová-O-hexosid, kyselina kofeinová-O-hexosid, kaempferol- O-hexosid, kyselina sinapová-O-hexosid, katechin-O-dihexosid a apigenin-C-hexosidpentosid, byly účinně identifikovány v pivních extraktech[3,48].
Techniky jako kapilární elektroforéza se také používají při stanovení bioaktivních sloučenin přítomných v extraktu chmele. Separace je usnadněna kapilárou z taveného křemene [67].
Antioxidační aktivity extraktů chmele se hodnotí pomocí testu na vychytávání radikálů 2,2-difenyl-1- picrylhydrazyl (DPPH), zatímco celkový obsah fenolů se měří prostřednictvím redukce kyseliny fosfowolframové a kyseliny fosfomolybdenové [3,49]. Mezi další testy antioxidantů používané k identifikaci aktivity patří test zachycování peroxidu vodíku (HPS), test kyseliny linolové (LA), test absorpční kapacity kyslíkových radikálů (ORAC) atd.[3,50].
Extrakt z chmele je také známý pro svou potenciální antimikrobiální aktivitu. Bylo prokázáno, že inhibuje růst některých grampozitivních bakterií. Bioaktivní sloučeniny přítomné v extraktu z chmele, jako je lupulon, humulon, isohumulon a kyselina humulinová, vykazují vysokou antimikrobiální aktivitu proti bakteriím, jako je Bacillus subtilis [3,51]. Nedávná studie odhalila, že sedm flavonoidů, včetně dvou přírodních sloučenin (α,β-dihydro xanthohumol a 8-prenylnaringenin), vykazovalo pozoruhodnou aktivitu proti kmenům Staphylococcus aureus citlivým i rezistentním na meticilin, stejně jako proti Staphylococcus epidermidis [3,52]. Nejrozšířenější technikou pro zkoumání antibakteriální aktivity přírodních látek a rostlinných extraktů jsou difúzní metody, které jsou podle Brantnera a Greina založeny na použití disků nebo otvorů jako zásobníků obsahujících roztoky zkoumaných látek [3,53].
 

ZÁVĚR:

Na základě diskuse o vlastnostech extraktů chmele v této práci lze říci, že mohou mít široké spektrum použití v různých průmyslových odvětvích. Výzkumy ukazují, že extrakty chmele jsou skvělým způsobem, jak prodloužit trvanlivost mnoha produktů, včetně čerstvého masa, tím, že zabraňují oxidačnímu a mikrobiologickému znehodnocení [54,55]. Několik prací zdůrazňuje jejich význam v potravinářském průmyslu [16,58].
Jejich použití v pekárenském průmyslu a jejich dlouhodobá stabilita jsou připisovány jejich antifungálnímu účinku [6]. Díky svým antifungálním vlastnostem se extrakt z chmele používá také v kosmetických přípravcích na vlasy. Zpevňuje vlasy, obohacuje je, posiluje a zastavuje jejich vypadávání [57].Když vědci vytvořili sprchové gely s použitím superkritických vzorků CO2 z chmelových šišek, výsledky ukázaly, že biologicky aktivní sloučeniny v extraktech zlepšily schopnost sprchových gelů zvlhčovat pokožku [56,57]. Studie uvádějí použití α-kyselin a β-kyselin jako potenciálních léků proti kostním onemocněním, jako je osteoporóza [65, 66].
Kromě toho se v čajovém průmyslu pěstuje a testuje chmel. Vzhledem ke snížené hořkosti a rostoucí popularitě jako léčivých čajů s antifungálními a protizánětlivými vlastnostmi jsou varianty s nižším obsahem alfa-kyseliny oblíbené v odvětví bylinných čajů [59]. Esenciální oleje přítomné v chmelu byly také zkoumány jako cenově dostupné, ekologicky šetrné insekticidy a repelenty [59,60,61].
Další bioaktivní látky jsou zkoumány z hlediska jejich potenciálního využití v medicíně a zdravotnictví, například ke zlepšení kanálů pro přenos signálů inzulínu, snížení obezity, minimalizaci rizika metabolického syndromu a různých forem rakoviny, zmírnění některých příznaků menopauzy [59, 62, 63, 64,65].
Článek poskytuje komplexní přehled různých vlastností a použití chmelových extraktů a zdůrazňuje jejich potenciál v mnoha odvětvích, včetně konzervace potravin, kosmetiky a medicíny. Mezi klíčové poznatky patří antimikrobiální, antifungální, antioxidační, protizánětlivé, antialergické a kognitivní vlastnosti chmelových extraktů, se zvláštním zaměřením na bioaktivní sloučeniny, jako jsou xanthohumol, humulony a lupulony.Antimikrobiální vlastnosti extraktů z chmele z nich činí účinné přírodní konzervační látky v potravinářských výrobcích, zatímco jejich antifungální vlastnosti jsou prospěšné při výrobě chleba a vlasových přípravcích. Antioxidativní účinky extraktů z chmele jsou připisovány sloučeninám, jako je xanthohumol, které mohou zachycovat reaktivní formy kyslíku a potenciálně tak pomáhat při prevenci oxidačního poškození buněk a tkání. Navíc protizánětlivé vlastnosti extraktů z chmele jsou slibné při léčbě onemocnění, jako je osteoartróza a neurozánět.
Článek dále pojednává o kognitivních přínosech extraktů z chmele, zejména o jejich potenciálu při zlepšování paměti a kognitivních funkcí, jakož i o jejich použití při léčbě neurodegenerativních onemocnění. Zkoumány jsou také antialergické účinky extraktů z chmele, které naznačují jejich potenciál při zmírňování alergických reakcí. Závěrem lze říci, že extrakty z chmele představují cenný zdroj bioaktivních sloučenin s rozmanitým uplatněním v různých odvětvích.
 

REFERENCE:

1. Keskin Ş, Şirin Y, Çakir HE, Keskin M. An investigation of Humulus lupulus L.: Phenolic composition, antioxidant capacity and inhibition properties of clinically important enzymes. South African Journal of Botany [Internet]. 2019 Jan [cited 2019 Oct 14];120:170–4.
 
2. Dostupné na: https://www.sciencedirect.com/science/article/pii/S0254629918305830
 
3. Alonso-Esteban, J. I., Pinela, J., Barros, L., Ćirić, A., Sokóvić, M., Calhelha, R. C., Torija-Isasa, E., De Cortes Sánchez-Mata, M., & Ferreira, I. C. (2019). Fenolické složení a antioxidační, antimikrobiální a cytotoxické vlastnosti semen chmele (Humulus lupulus L.). Průmyslové plodiny a
produkty, 134, 154–159.
 
4. Knez Hrnčič M, Španinger E, Košir IJ, Knez Ž, Bren U. Složky chmele: extrakční techniky, chemické analýzy, antioxidační, antimikrobiální a antikarcinogenní účinky. Nutrients. 24. ledna 2019; 11(2):257.
 
5. Bocquet L, Rivière C, Dermont C, Samaillie J, Hilbert JL, Halama P, et al. Antifungální aktivita extraktů a sloučenin chmele proti patogenu pšenice Zymoseptoria tritici. Průmyslové plodiny a produkty. Říjen 2018; 122:290–7.
 
6. Kramer B, Thielmann J, Hickisch A, Muranyi P, Wunderlich J, Hauser C. Antimikrobiální aktivita extraktů chmele proti patogenům přenášeným potravinami pro použití v masných výrobcích. Journal of Applied Microbiology. 9. ledna 2015; 118(3):648–57.
 
7. Nionelli L, Pontonio E, Gobbetti M, Rizzello CG. Použití extraktu z chmele jako antifungální přísady při výrobě chleba a výběr autochtonních rezistentních kvasnic pro kvašení kvásku. Mezinárodní časopis pro mikrobiologii potravin. Únor 2018; 266:173–82.
 
8. Li Y, Dalabasmaz S, Gensberger-Reigl S, Heymich ML, Krofta K, Pischetsrieder M. Identifikace kolupulonu a lupulonu jako hlavních složek přispívajících k antibakteriální aktivitě chmelových extraktů pomocí frakcionace řízené aktivitou a metabolomové analýzy. Food Res Int. Červenec 2023; 169:11283-2.
 
9. Ceh B, Kac M, Košir I, Abram V. Vztahy mezi obsahem xanthohumolu a polyfenolů v listech a šiškách chmele s ohledem na zásobování vodou a kultivar. International Journal of Molecular Sciences. 12. září 2007; 8(9):989–1000.
 
10. Murakami A, Darby P, Javornik B, Pais MSS, Seigner E, Lutz A, et al. Molekulární fylogeneze divokého chmele, Humulus lupulus L. Heredity [Internet]. 1. července 2006 [citováno 24. března 2023];97(1):66– 74.
 
11. McCallum JL, Nabuurs MH, Gallant ST, Kirby CW, Mills AAS. Fytochemická charakteristika divokého chmele (Humulus lupulus ssp. lupuloides) z genetických zdrojů z přímořské oblasti Kanady. Frontiers in Plant Science. 11. prosince 2019;10.
 
12. Karabín M, Hudcová T, Jelínek L, Dostálek P. Biologicky aktivní sloučeniny z chmele a vyhlídky na jejich využití. Komplexní přehledy v potravinářské vědě a bezpečnosti potravin. 1. března 2016; 15(3):542–67.
 
13. Miranda CL, Stevens JF, Helmrich A, Henderson MC, Rodriguez RJ, Yang YH ., et al. Antiproliferační a cytotoxické účinky prenylovaných flavonoidů z chmele (Humulus lupulus) v lidských rakovinných buněčných liniích. Potravinová a chemická toxikologie. Duben 1999; 37(4):271–85.
 
14. Rossini F, Virga G, Loreti P, Iacuzzi N, Ruggeri R, Provenzano ME. Chmel (Humulus lupulus L.) jako nová víceúčelová plodina pro středomořskou oblast Evropy: výzvy a příležitosti jejího pěstování. Zemědělství. 24. května 2021; 11(6):484.
 
15. FAOSTAT. Dostupné online: https://www.fao.org/faostat/en/#data/QC/visualize
 
16. Bassolé IHN, Juliani HR. Esenciální oleje v kombinaci a jejich antimikrobiální vlastnosti. Molekuly. 2. dubna 2012; 17(4):3989–4006.
 
17. Kramer B, Thielmann J, Hickisch A, Muranyi P, Wunderlich J, Hauser C. Antimikrobiální aktivita extraktů chmele proti patogenům přenášeným potravinami pro použití v masném průmyslu. Journal of Applied Microbiology. 9. ledna 2015; 118(3):648–57
 
18. Noreña I, Jéssica López, Salazar FN. Antimikrobiální aktivita sloučenin z chmele (Humulus lupulus L.) po extrakci superkritickou kapalinou: přehled. Chilean Journal of Agricultural Research. 1. srpna 2023; 83(4):499–509.
 
19. Moureu S, Jacquin J, Samaillie J, Deweer C, Rivière C, Muchembled J. Antifungální aktivita extraktů z chmelových listů a xanthohumolu na dva kmeny Venturia inaequalis s různou citlivostí na triazoly. Mikroorganismy [Internet]. 1. června 2023 [citováno 19. března 2024]; 11(6):1605. Dostupné na: https://www.mdpi.com/2076-2607/11/6/1605.
 
20. Mizobuchi S, Sato Y. Antifungální účinky hořkých pryskyřic chmele a příbuzných sloučenin. Zemědělská a biologická chemie. Únor 1985; 49(2):399–403.
 
21. 20. Guo Y, Pan W, Liu S, Shen Z, Xu Y, Hu L. ERK/MAPK signální dráha a tumorigeneze (Recenze). Experimentální a terapeutická medicína [Internet]. 15. ledna 2020; 19(3).
 
22. 21. Chen Q, Fu M, Chen M, Liu J, Liu X, He G, et al. Preparativní izolace a purifikace xanthohumolu z chmele (Humulus lupulus L.) pomocí vysokorychlostní protiproudové chromatografie. Food Chemistry. Květen 2012; 132(1):619–23.
 
23. 22. Liu M, Hansen P, Wang G, Qiu L, Dong J, Yin H, et al. Farmakologický profil xanthohumolu, prenylovaného flavonoidu z chmele (Humulus lupulus). Molecules. 7. ledna 2015; 20(1):754–79.
 
24. Kuribayashi K, Funaguchi N, Nakano T. Chemoterapie pokročilého nemalobuněčného karcinomu plic se zaměřením na spinocelulární karcinom. Journal of Cancer Research and Therapeutics. 2016;12(2):528.
 
25. Kunnimalaiyaan S, Sokolowski KM, Balamurugan M, Gamblin TC, Kunnimalaiyaan M. Xanthohumol inhibuje Notch signalizaci a indukuje apoptózu v hepatocelulárním karcinomu. Calvisi D, editor. PLOS ONE. 26. května 2015; 10(5):e0127464.
 
26. Kunnimalaiyaan S, Trevino J, Tsai S, Gamblin TC, Kunnimalaiyaan M. Potlačení signalizace Notch1 zprostředkované xanthohumolem je spojeno s protinádorovou aktivitou v lidských buňkách rakoviny slinivky břišní. Molekulární onkologická terapie. 1. června 2015; 14(6):1395–403.
 
27. Thandra KC, Barsouk A, Saginala K, Aluru JS, Barsouk A. Epidemiologie rakoviny plic. Contemp Oncol (Pozn). 2021;25(1):45-52. doi: 10.5114/wo.2021.103829. Epub 23. února 2021. PMID: 33911981; PMCID: PMC 8063897.
 
28. Vazquez-Cervantes GI, Ortega DR, Blanco Ayala T, Pérez de la Cruz V, Esquivel DFG, Salazar A, Pineda B. Redoxní a protizánětlivé vlastnosti složek chmele v pivu související s neuroprotekcí. Nutrients. 10. června 2021;13(6):2000. doi: 10.3390/nu13062000. PMID: 34200665; PMCID: PMC 8226943.
 
29. Velot É, Ducrocq F, Girardeau L, Hehn A, Piutti S, Kahn C, Linder M, Bianchi A, Arab-Tehrany E. Protizánětlivý účinek chmelového extraktu na lidské chondrocyty je zesílen, pokud je zapouzdřen v nanolipozomech z řepkového lecitinu. Int J Mol Sci. 17. října 2022; 23(20):12423. doi: 10.3390/ijms232012423. PMID: 36293278; PMCID: PMC9603919.
 
30. Zugravu CA, Bohiltea RE, Salmen T, Pogurschi E, Otelea MR. Antioxidanty v chmelu: biologická dostupnost, účinky na zdraví a perspektivy pro nové produkty. Antioxidanty (Basilej). 27. ledna 2022; 11(2):241. doi: 10.3390/antiox11020241. PMID: 35204124; PMCID: PMC8868281.
 
31. Benzie IF, Strain JJ. Schopnost plazmy redukovat železo (FRAP) jako měřítko „antioxidační síly“: test FRAP. Anal Biochem. 15. července 1996; 239(1):70 6. doi: 10.1006/abio.1996.0292. PMID: 8660627.
 
32. Kolenc Z, Hribernik T, Langerholc T, Pintarič M, Prevolnik Povše M, Bren U. Antioxidantní aktivita různých genotypů chmele (Humulus lupulus L.). Rostliny. 2023; 12(19):3436. https://doi.org/10.3390/plants12193436
 
33. Huang D, Ou B, Prior RL. Chemie za testy antioxidační kapacity. J Agric Food Chem. 23. března 2005; 53(6):1841-56. doi: 10.1021/jf030723c. PMID: 15769103.
 
34. Mikyska, A., Haskova, D., & Krofta, K. (2008). Hodnocení antioxidačních vlastností surového chmele a chmelových produktů. Acta horticulturae, 778, 97.
 
35. Codina-Torrella I, Rodero L, Almajano MP. Vedlejší produkty pivovarnictví jako zdroj přírodních antioxidantů pro konzervaci potravin. Antioxidanty. 2021; 10(10):1512. https://doi.org/10.3390/antiox10101512
 
36. Silva, S.; Oliveira, A.I.; Cruz, A.; Oliveira, R.F.; Almeida, R.; Pinho, C. Fyzikálně-chemické vlastnosti a antioxidační aktivita portugalských řemeslných piv a surovin. Molecules 2022, 27, 8007.
 
37. Petrón, M. J., Andrés, A. I., Esteban, G., & Timón, M. L. (2021). Studie antioxidační aktivity a fenolických sloučenin extraktů získaných z různých vedlejších produktů řemeslného piva. Journal of cereal science, 98, 103162.
 
38. Takubo M, Inoue T, Jiang S, Tsumuro T, Ueda Y, Yatsuzuka R, Segawa S, Watari J, Kamei C. Účinky extraktů chmele na tření nosu a kýchání u myší BALB/c. Biol Pharm Bull. Duben 2006; 29(4):689- 92. doi: 10.1248/bpb.29.689. PMID: 16595900.
 
39. Segawa S, Yasui K, Takata Y, Kurihara T, Kaneda H, Watari J. Flavonoidové glykosidy extrahované z chmele (Humulus lupulus L.) jako inhibitory uvolňování chemických mediátorů z lidských bazofilních buněk KU812. Biosci Biotechnol Biochem. Prosinec 2006; 70(12):2990-7. doi: 10.1271/bbb.60384. Epub prosinec 2006 7. PMID: 17151464.
 
40. Segawa S, Takata Y, Kaneda H, Watari J. Účinky vodného extraktu chmele na vaskulární permeabilitu stimulovanou sloučeninou 48/80 u myší ICR a uvolňování histaminu z myší BALB/c senzibilizovaných OVA. Biosci Biotechnol Biochem. Červen 2007; 71(6):1577-81. doi: 10.1271/bbb.70047. PMID: 17587695.
 
41. Fukuda, T., Obara, K., Saito, J., Umeda, S., & Ano, Y. (2020). Účinky hořkých kyselin chmele, hořkých složek piva, na kognitivní funkce zdravých dospělých: randomizovaná kontrolovaná studie. Journal of Agricultural and Food Chemistry, 68(1), 206-212. https://doi.org/10.1021/acs.jafc.9b06660
 
42. Ayabe T, Fukuda T, Ano Y. Zlepšující účinky hořkých kyselin z chmele v pivu na kognitivní funkce: nová strategie pro stimulaci bloudivého nervu. Biomolecules. 2020; 10(1):131. https://doi.org/10.3390/biom10010131
 
43. Ano, Y., Ohya, R., Kondo, K., & Nakayama, H. (2019). Iso-α-kyseliny, hořké složky piva pocházející z chmele, tlumí záněty a kognitivní úpadek související s věkem. Frontiers in Aging Neuroscience, 11, článek 16. https://doi.org/10.3389/fnagi.2019.00016
 
44. Green, C. P., & Osborne, P. (1993). RYCHLÉ METODY ZÍSKÁVÁNÍ ESENCIÁLNÍHO OLEJE Z CHMELE. Journal of the Institute of Brewing, 99(4), 335–339. doi:10.1002/j.2050-0416.1993.tb01172.x
 
45. Von Horst, L.A.F.; Kellner, M. Tenká vrstva parní destilace extraktu chmelového oleje. Americký patent č. 3436319A, 1969.
 
46. Dabrowski W, Gagos M, Siwicka-Gieroba D, Piechota M, Siwiec J, Bielacz M, Kotfis K, Stepulak A, Grzycka-Kowalczyk L, Jaroszynski A, Malbrain ML. Extrakt z Humulus lupus bohatý na xanthohumol zlepšuje klinický průběh u kriticky nemocných pacientů s COVID-19. Biomed Pharmacother. Únor 2023; 158:114082. doi: 10.1016/j.biopha.2022.114082. Epub 9. prosince 2022. PMID: 36508996; PMCID: PMC9732508.
 
47. Ligor, M.; Stankevičius, M.; Wenda-Piesik, A.; Obelevičius, K.; Ragažinskienė, O.; Stanius, Ž.; Maruška, A.; Buszewski, B. Srovnávací hodnocení esenciálních olejů a extraktů chmele (Humulus lupulus L.) pomocí plynové chromatografie a hmotnostní spektrometrie získaných různými metodami přípravy vzorků. Food Anal. Methods 2014, 7, 1433–1442.
 
48. Taniguchi, Y.; Matsukura, Y.; Taniguchi, H.; Koizumi, H.; Katayama, M. Vývoj preparativních a analytických metod frakce hořkých kyselin chmele a chemických vlastností jejích složek. Biosci. Biotechnol. Biochem. 2015, 79, 1684–1694.
 
49. Quifer-Rada, P.; Vallverdú-Queralt, A.; Martínez-Huélamo, M.; Chiva-Blanch, G.; Jáuregui, O.; Estruch, R.; Lamuela-Raventós, R. Komplexní charakterizace polyfenolů v pivu pomocí vysokorozlišovací hmotnostní spektrometrie (LC–ESI-LTQ-Orbitrap-MS). Food Chem. 2015, 169, 336–343.
 
50. Abram, V.; Čeh, B.; Vidmar, M.; Hercezi, M.; Lazić, N.; Bucik, V.; Smole Mozina, S.; Kosir, I.J.; Kac, M.; Demšar, L.; et al. Srovnání antioxidační a antimikrobiální aktivity mezi listy chmele a chmelovými šiškami. Ind. Crop. Prod. 2015, 64, 124–134.
 
51. Barbosa-Pereira, L.; Bilbao, A.; Vilches, P.; Angulo, I.; Lluis, J.; Fité, B.; Paseiro-Losada, P.; Cruz, J.M. Pivovarský odpad jako potenciální zdroj fenolických sloučenin: Optimalizace extrakčního procesu a hodnocení antioxidační a antimikrobiální aktivity. Food Chem. 2014, 145, 191–197.
 
52. Teuber, M.; Schmalreck, A.F. Membránová netěsnost u Bacillus subtilis 168 vyvolaná složkami chmele lupulonem, humulonem, isohumulonem a kyselinou humulinovou. Arch. Microbiol. 1973, 94, 159–171.
 
53. Bartmańska, A.; Wałecka-Zacharska, E.; Tronina, T.; Popłoński, J.; Sordon, S.; Brzezowska, E.; Bania, J.; Huszcza, E. Antimikrobiální vlastnosti extraktů z použitých chmelových hlávek, flavonoidů z nich izolovaných a jejich derivátů. Molecules 2018, 23, 2059.
 
54. Brantner, A.; Grein, E. Antibakteriální aktivita rostlinných extraktů používaných zevně v tradiční medicíně. J. Ethnopharmacol. 1994, 44, 35–40.
 
55. Astray G, Gullón P, Gullón B, Munekata PES, Lorenzo JM. Humulus lupulus L. jako přírodní zdroj funkčních biomolekul. Aplikované vědy. 2020; 10(15):5074. https://doi.org/10.3390/app10155074.
 
56. Fernandes RPP, Trindade MA, Lorenzo JM, de Melo MP. Hodnocení stability ovčích uzenin s přídavkem různých koncentrací extraktu Origanum vulgare během skladování. Meat Sci. 2018 Mar;137:244-257. doi: 10.1016/j.meatsci.2017.11.018. Epub 15. listopadu 2017. PMID: 29223559.
 
57. Nagybákay NE, Syrpas M, Vilimaitė V, Tamkutė L, Pukalskas A, Venskutonis PR, Kitrytė V. Optimalizovaná extrakce superkritickým CO2 zvyšuje výtěžnost cenných lipofilních antioxidantů a dalších složek z dvojúčelového chmele (Humulus lupulus L.) odrůdy Ella. Antioxidanty (Basilej). 6. června 2021; 10(6):918. doi: 10.3390/antiox10060918. PMID: 34204047; PMCID: PMC8228826.
 
58. Vogt, O., Sikora, E., & Ogonowski, J. (2014). Vliv přidání vybraných superkritických rostlinných extraktů CO na uživatelské vlastnosti sprchových gelů. Polish Journal of Chemical Technology, 16(4), 51-54.
 
59. Rodrigues Arruda, T., Fontes Pinheiro, P., Ibrahim Silva, P., & Campos Bernardes, P. (2021). Exkluzivní surovina pro výrobu piva? Řešení ekologičtějších extrakčních technik, relevance a perspektivy chmele (Humulus lupulus L.) pro potravinářský průmysl. Potravinářská a bioprocesní technologie, 1-31.
 
60. Teghtmeyer, S. (2018). Chmel. Časopis pro zemědělství a potravinářství, 19(1), 9-20.
 
61. Aydin, T., Bayrak, N., Baran, E., & Cakir, A. (2017). Insekticidní účinky extraktů z šišek Humulus lupulus L. (chmel) a jejich hlavní složky, xanthohumolu. Bulletin entomologického výzkumu, 107,
 
Článek ke stažení v PDF zde
 

 

Kontakt

Zemědělská společnost Chrášťany s.r.o.

zschrastany@seznam.cz

Chrášťany 172
p.Kněževes
27001

606 850 755 -ředitel
721 080 613 -hlavní agronom
602 400 701 -chmelař,agronom
732 620 444 -pozemky
(evidence,nájem,pacht,koupě pozemků)
728 399 733 -hlavní mechanizátor,chmelař
313 582 308 - účtárna
313 582 931

Vyhledávání

© 2011 Všechna práva vyhrazena.

Vytvořeno službou Webnode